我们先来聊聊GANs有哪些可研究的方向。下面说说我的看法。我把研究的方向分为三大块:theory、optimization、application。在theory上的研究可以分为博弈论视角和非博弈论视角。收敛性是theory的一个很重要的研究方向。然而,理论研究非常难,一方面GANs一般是基于deep learning的,而deep learning的理论根基尚且未知;另一方面,有理论收敛性保证的零和博弈GANs在实际应用中训练效果并不好,实际应用的启发式GANs并非零和博弈,很难从理论上做分析。

至于optimization,我们知道GANs很难训练,容易发生模式坍塌(mode collapse),从这点上可以找到两个研究课题:如何找到合适的优化方法以稳定训练过程、发生模式坍塌的原因何在。正如Ian Goodfellow所言,寻找纳什均衡比优化loss function要难得多。经验上或者理论上找到一类相对容易寻找纳什均衡的GANs,也是一个不错的研究方向,DCGAN做的正是这方面的工作。对GANs提出合适的优化方法目前还没看到相关工作,多数optimization的文章还是在研究训练GANs的一些tricks,如DCGAN、improved GAN。总的来说,optimization上的研究,可以从loss function、training procedure、flamework上入手。

还有一类是研究GAN的application,这也是一个相对容易一些的研究方向。关于GAN的应用,在推出GANs系列的第一期我们就提到过,如根据描述生成图像、卫星图像与地图的转换、草图生成真实图像等。后续也会解读这方面的文章。

我尝试在这上面做些研究,一开始有一堆想法,然后一个个地思考、否定、心寒。看懂别人的工作似乎不难,但是自己研究还是很难的。But不要气馁,一切才刚刚开始。GANs的研究也才2年。

好了,进入正题。今天要介绍的两篇论文都来自于OpenAI,第一篇介绍了一种新的GAN,叫InfoGAN,它对generator和generator的loss做了一些修改,并取得了很好的效果。第二篇对GAN提出了一些改进,并将GANs应用到半监督学习中。

InfoGAN

**
**

一般的GAN的generator输入是“噪声”(noise,也称为latent code,姑且称为“图编码”),输出是根据“图编码”产生的图像【PS:我觉得这种做法有问题,但是想不到改进的方法】。我们完全不知道generator会怎样利用“图编码”,“图编码”可能完全交织在一起,很难确定“图编码”每个维度的具体语义,或者说,不知道“图编码”的每个维度分别控制着图像的哪些特征。一般的GANs求解的是以下的minmax博弈:

作者认为这种generator的输入是unstructuredlatent code,并不能很好地解释图像产生的参数,应该将generator的输入分为两部分,一部分还是noise,不可压缩的噪声向量,记为z;另一部分是structured latent code,控制数据分布的语义特征,如视角、光照等,记为c。简而言之,noise负责控制生成图像的内容,structure latent code负责控制图像的一些属性特征。

一般来说,一张图像具有很多属性特征,设有L个属性,记为

不妨假设它们是相互独立的,即

控制图像属性的structure latent code应该是与图像内容无关的变量,也就是说,p(c|x)的熵应该尽可能地小,也就是说,c与G(z,c)的互信息I(c, G(z,c))应该尽可能地大。换句话说,当c给定以后,图像x的不确定性减少量应该尽可能地大。

为了实现最大化互信息,以使structured latentcode能够控制图像的属性,作者在loss function中引入互信息正则化项,因此,InfoGAN是如下的minmax博弈:

从上式可以看出,互信息正则项只对generator起作用。

然而,通过上式我们并不能启动训练,因为它实际上需要知道后验概率p(c|x),而这是我们无法得知的。没办法得到后验概率,那我们就让模型自己学后验概率...

作者从理论上推导了,如果用Q(c|x)来逼近后验概率P(c|x),那么互信息I(c, G(z,c))具有如下的下界:

更详细的讨论可以参看原文[1]。

实际操作中,Q(c|x)的计算与Discriminator共享网络,除了最后一层全连接层不同,不妨称为Q网络。这样做可以减少计算代价。如果structured latent code是categorical变量,采用softmax的概率输出作为Q(c_i|x)即可;如果是连续变量,一般采用Q网络输出构造一个高斯分布。

InfoGAN实验

**
**

InfoGAN采用DCGAN提出的限制设计generator和discriminator网络。每个实验具体的网络架构、实验参数可以在文献[1]的Appendix中找到。Generator的学习率设置为0.001,discriminator的学习率设为0.0002,正则化项参数\lambda设置为1(face dataset上除外)。

实验发现,互信息很快就达到了最大,表明文中给出的最大化互信息方法是有效的。

MNIST数据集上,InfoGAN学到的3个structuredlatent code具有明确的含义:其中c_1表示数字类型;c_2表示旋转角度;c_3表示笔画宽度。如下图所示:

此外,在生成人脸和桌椅上也有类似效果:

Improved-GAN

Improved GAN实际上是提出了几个使得GANs更稳定的技术,包括:feature matching、minibatch discrimination、historicalaveraging、one-sided label smoothing、virtual batch normalization。下面我们一一介绍:

Feature matching

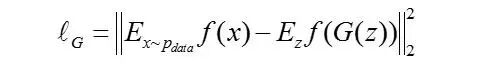
GANs的loss是建立在discriminator的输出上的,即discriminator输出的交叉熵,这可能导致GANs训练不稳定,毕竟给予generator的信息太少了,而图像空间又太大了。为了让训练更稳定,作者提出了featurematching的方法。所谓的feature matching,即是要求generator产生的图像在经过discriminator时,提取的特征尽可能地接近(匹配)自然图像经过discriminator时提取的特征。设discriminator的某个中间层对于输入x的输出为f(x),作者提出的featurematching,实际上是用下面的loss function替换以前的交叉熵loss:

这个loss比交叉熵loss更加直接,对generator的指导作用更大一些。

Minibatch discrimination

作者提出, generator的输出并没有相互作用,发生模式坍塌(mode collapse)时,没有任何信息能够引导它走出模式坍塌。为了防止这个情况发生,作者提出了generator的每个minibatch输出都应该具有足够的分辩能力,也就是说,每个minibatch不应该太相似,惩罚minibatch的相似性,能够在模式坍塌发生时,产生足够的梯度信息,引导它走出模式坍塌。设discriminator的某个中间层对于输入x的输出为f(x),对于generator产生的图像x_i,它的特征是

设generator的一个minibatch输出为x_1, x_2, ..., x_n。Minibatch discrimination(可以看成是一个layer,称为minibatch layer)具体计算如下:

  • 对每个f(x_i),右乘以下张量

得到矩阵

  • 计算cross-sample distance

  • 计算minibatch layer的输出:

需要指出的是,作者提出的minibatch discrimination是在discriminator原来的网络的某个中间层后面插入minibatch layer,minibatch layer的输出作为原来discriminator下一层的输入。示例图解如下:

Historical averaging

受到虚拟博弈算法(fictitious play algorithm, GeorgeW Brown, 1951)[3]的启发,作者提出,对博弈双方的loss function均加入历史信息项,即

其中,θ[i]表示历史时刻i的参数值,t为已经进行过的博弈轮数(迭代次数)。

实验发现,这种historical averaging的方法能够求解低维、连续非凸博弈的均衡点。

One-sided label smoothing

标签平滑处理(label smoothing)将分类器的两类输出0,1替换为平滑后的结果a,b(其中:0<a<b<1)。它能够降低神经网络对于对抗样本的脆弱性。然而,标签平滑处理也存在问题,由于训练集是有限的,在p_data接近0,p_model很大的地方,p_model主导了discriminator,这将导致没有足够的梯度引导p_model向p_data收敛。因此,作者提出one-sided label smoothing,将正类标签平滑处理为\alpha,对负类标签不做处理,仍置为0。

Virtual batch normalization

DCGANs将batch normalization引入到GANs中,并取得了巨大成功。但这种batch normalization也存在问题,每个样本对应的网络输出都高度依赖于同个batch的其他样本,为了避免这种依赖性,作者提出了virtual batch normalization,即每次做batch normalization时,用到的统计信息\mu, \sigma并不是当前batch的统计信息,而采用一批固定样本的统计信息。即,每次迭代需要计算两个batch,一个是训练集的输入batch,另一个是固定的batch(与迭代次数无关,每次均采用该batch),在需要batch normalization时,用固定batch的统计信息\mu,\sigma对训练集输入batch和固定的batch分别进行normalization。需要注意的是,VBN使得每次迭代的前向计算部分计算量是以前的两倍。实际操作时,一般只对generator使用VBN,以降低计算的代价。

Semi-supervised GANs

GANs属于非监督学习,improved-GAN的作者还提出了半监督版本的GANs。假设我们需要对图像进行分类,分为K类,半监督的GANs将generator产生的图像作为第K+1类:fake image。一般来说,我们将discriminator设计为半监督学习的分类器,将样本分为K+1类。GANs在训练时只考虑fake images和real images两类,fake images为第K+1类,discriminator输出的第K+1类的概率即为图像属于fake image的概率,real images为前K类,discriminator输出的前K类的概率之和即为图像属于real image的概率。

作者发现,前面提到的minibatch discrimination对于这种半监督的GANs训练并没有效果,而feature matching则对半监督GANs的提升效果非常明显!

Improved-GAN实验

作者设计的GANs也是基于DCGAN的。在MNIST数据集上做半监督GANs训练,用上feature matching或者minibatch discrimination,发现用feature matching的半监督GANs效果更好,在MNIST的分类上达到了半监督方法的state-of-the-art。

如果考虑产生的图像质量,半监督GANs产生的图像质量并不是很高,容易区分,如果非监督GANs采用minibatch discrimination,产生的图像质量非常高,人眼很难判断是图像是否是generator产生的。图像质量实验结果参见下图:

此外,作者还在CIFAR-10、SVHN等数据集上做了半监督GANs分类,同样达到了非监督分类上state-of-the-art的效果。

代码

InfoGAN代码:https://github.com/openai/InfoGAN

Improved GAN代码:https://github.com/openai/improved-gan

参考文献

**
**

  1. Chen, X., Duan, Y., Houthooft,R., Schulman, J., Sutskever, I., & Abbeel, P. (2016). InfoGAN:Interpretable Representation Learning by Information Maximizing GenerativeAdversarial Nets. arXiv:1606.03657[cs.LG], 1–14.

  2. Salimans, T., Goodfellow, I.,Zaremba, W., Cheung, V., Radford, A., & Chen, X. (2016). ImprovedTechniques for Training GANs. Nips,1–10.

  3. George W Brown. Iterativesolution of games by fictitious play. Activityanalysis of production and allocation, 13(1):374-376, 1951.


书籍推荐